Cofactor Matrix (examples)

Example: $2 \times 2$ matrix
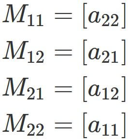
  Let $A$ be a $2 \times 2$ matrix defined as
The cofactor matrix of $A$ is
cofactor matrix 2x2

Answer
  Let $M_{ij}$ be a submatrix given by removing $i$-th row and $j$-th column from $A$,
The determinant of $M_{ij}$ is
Each element of the cofactor matrix is defined as
Specifically, we see that
and in the form of a matrix,
Example
  Let $A$ be a $2 \times 2$ matrix given as
Each element of $\tilde{A}$ is
Calculator
  Enter a $2 \times 2$ matrix and press "Execute" button. Its cofactor matrix is displayed.

Matrix $A$
1 2
  1  
  2  

Cofactor Matrix $\tilde{A}$
1 2
  1  
  2  

Example: $3 \times 3$ matrix
  Let $A$ be a $3 \times 3$ matrix given as
. The cofactor matrix of $A$ is
The cofactor matrix of a 3x3 matrix

Answer
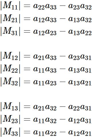
  Let $M_{ij}$ be a submatrix given by removing $i$-th row and $j$-th column from $A$,
The determinant of $M_{ij}$ is
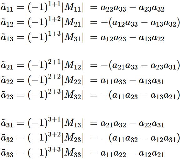
Each element of the cofactor matrix $\tilde{A}$ is defined as
cofactor matrix definition
Specifically, we see that
and in the form of a matrix,
The cofactor matrix of a 3x3 matrix
Example:

  Let $A$ be a 3x3 matrix given as
Each element of $\tilde{A}$ is
Example of a 3x3 cofactor matrix
and in the form of a matrix,
Calculator
  Enter a $3 \times 3$ matrix and press "Execute" button. Its cofactor matrix is displayed.

Matrix $A$
1 2 3
  1  
  2  
  3  
Cofactor matrix $\tilde{A}$
1 2 3
  1  
  2  
  3  

Example: $4 \times 4$ matrix
  Find the cofactor matrix of

Answer
  Let $M_{ij}$ be a submatrix given by removing $i$-th row and $j$-th column from $A$,
The determinant of $M_{ij}$ is respectively
(See 3x3 determinant). Each element of the cofactor matrix $\tilde{A}$ is defined as $$ \tilde{a}_{ij} = (-1)^{i+j}|M_{ji}| $$ Specifically, we see that
Calculator
  Enter a $4 \times 4$ matrix and press "Execute" button. Its cofactor matrix is displayed.

Matrix $A$
1 2 3 4
  1  
  2  
  3  
  4  

Cofactor matrix $\tilde{A}$
1 2 3 4
  1  
  2  
  3  
  4  

Definition of cofactor matrix
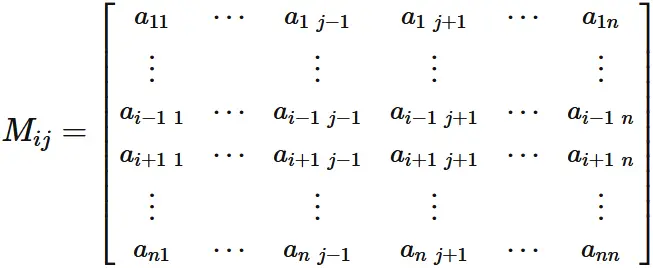
  Let $a_{ij}$ be the $i$-th row and $j$-th column element of an $n \times n$ matrix $A$, and $M_{ij}$ be the sub-matrix obtained by removing the $i$-th row and $j$-column:
The $i$-th row and $j$-th column element of the cofactor matrix is defined as
, where $|M_{ji}|$ is the determinant of the sub-matrix $M_{ji}$. Representing the cofactor matrix in matrix form, we have