Determinant properties and formulas

Swap rows and columns
  Let $A^{(i\leftrightarrow j)}$ be a matrix given by swapping the $i$-th and $j$-th columns of a matrix $A$. Its determinant differs from the original determinant only in sign:
determinant swapped columns
$$ \tag{1.1} $$ Let $A^{(i\hspace{1mm} \updownarrow \hspace{1mm}j)}$ be a matrix given by swapping the $i$ and $j$ rows of a matrix $A$. Its determinant differs from the original determinant only in sign:
determinant swapped rows
$$ \tag{1.2} $$
Proof
$| A^{(i\hspace{1mm} \updownarrow \hspace{1mm}j)} | = -|A|$
  Let $A_{kl}$ be the $k$-th row and $l$-th column element of an $n \times n$ matrix of $A$. The determinant of $A$ is
(See "Definition of determinant"). Here, the sign of the permutation is
$$ \tag{1.3} $$ Focusing on the $i$ and $j$ rows, let us write $|A|$ as
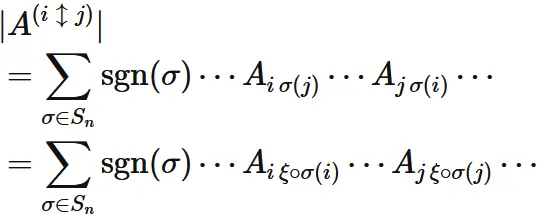
Let $A^{(i\hspace{1mm} \updownarrow \hspace{1mm}j)}$ be a matrix given by swapping the $i$ and $j$ rows of $A$, and $A^{(i \hspace{1mm}\updownarrow \hspace{1mm}j)}_{kl}$ be the $k$-th row and $l$-th column element of $A^{(i\hspace{1mm} \updownarrow \hspace{1mm}j)}$. We have
The determinant of $A^{(i \hspace{1mm}\updownarrow \hspace{1mm}j)}$ is
$$ \tag{1.4} $$ Here, the last line only changes the order of multiplication.
  Let $\xi$ be a permutation that swaps $\sigma(i)$ and $\sigma(j)$:
$$ \tag{1.5} $$ For example, if $\sigma$ is
and if $\xi$ swaps $\sigma(1)$ and $\sigma(3)$, then
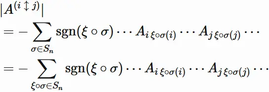
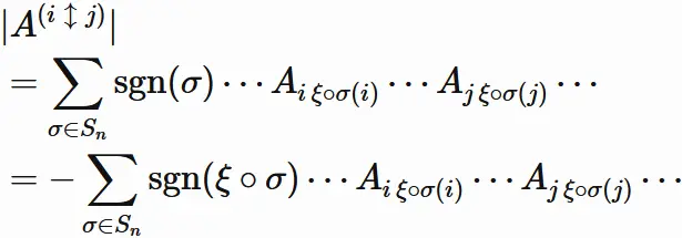
Using $(1.5)$, $(1.4)$ can be expressed as
$$ \tag{1.6} $$ The permutation $\xi$ is an odd permutation because it swaps only once. Therefore, if $\sigma$ is an even permutation, the composite permutation $\xi \circ \sigma(\cdot)$ is an odd permutation, and if $\sigma$ is an odd permutation, the composite permutation $\xi \circ \sigma(\cdot)$ is an even permutation. We therefore see that
$(1.3)$ and this give
holds for any permutation $\sigma$. Using this, $(1.6)$ can be written as
$$ \tag{1.7} $$ The permutation $\sigma$ is a mapping that only changes the order of the set $ \{1,2,\cdots,n\}. $ For example, if $n=3$, all the permutations $\sigma$ are
If $\xi$ swaps $\sigma(1)$ and $\sigma(3)$, all the composite permutations $\xi \circ \sigma $ are
As seen this example, the composite permutation $\xi \circ \sigma$ is also a mapping that only changes the order. And the set
is identical to the set
Therefore, the summation $\sum_{\sigma \in S_{n}}$ in $(1.7)$ can be replaced with $\sum_{\xi \circ \sigma \in S_{n}}$:
Let $\tau$ be $\xi \circ \sigma$. We have
The right hand side is equal to -$|A|$. So we obtain



$| A^{(i \leftrightarrow j)} | = -|A|$
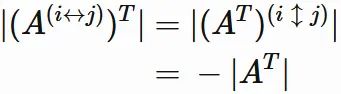
  First, applying the same discussion as above to the transposed matrix $A^{T}$ , we have
Generally, a matrix transposed after swapping columns is equal to a matrix swapping rows after transpose:
We obtain
Finally, the matrix transpose property ( $|A^{T}| = |A|$) gives

Case two columns are equal
  Let $\mathbf{a}_{i}$ and $\mathbf{a}_{j}$ $(i \neq j)$ denote the $i$-th and $j$-th column vectors of an $n \times n$ matrix $A$, respectively, and denote $A$ as
If $\mathbf{a}_{i}$ is equal to $\mathbf{a}_{j}$, the determinant of $A$ is zero:
If two columns are equal, determinant equal to zero
$$ \tag{2.1} $$
Proof
  Let $A^{(i\leftrightarrow j)}$ be a matrix given by swapping the $i$-th and $j$-th columns of $A$.
By $(1.1)$, we have
$$ \tag{2.2} $$ If $ \mathbf{a}_{i} = \mathbf{a}_{j} $ ,
In this case, swapping the $i$-th and $j$-th column vectors does not change the matrix..
Eq. $(2.2)$ and this give
We obtain

Case two rows are equal
  Let $\mathbf{a}_{i}$ and $\mathbf{a}_{j}$ $(i \neq j)$ denote the $i$-th and $j$-th row vectors of an $n \times n$ matrix $A$, respectively, and denote $A$ as
If $\mathbf{a}_{i}$ is equal to $\mathbf{a}_{j}$, the determinant of $A$ is zero:
determinant if two rows are equal
$$ \tag{3.1} $$
Proof
  Let $A^{(i\hspace{1mm}\updownarrow\hspace{1mm} j)}$ be a matrix given by swapping the $i$-th and $j$-th rows of $A$.
Its determinant differs from the original determinant only in sign (see the above).
$$ \tag{3.2} $$ If $\mathbf{a}_{i} = \mathbf{a}_{j}$,
In this case, swapping the $i$-th and $j$-th rows does not change the matrix. Therefore
Eq. $(3.2)$ and this give
We obtain

Case if a row is scalar-multiplied
  Let $A_{ij}$ be the $i$-th row and $j$-th column element of an $n \times n$ matrix $A$:
$$ \tag{4.1} $$ Let $A'$ be the matrix obtained by multiplying $ A_{ij} $ $(j=1,\cdots,n)$ by a scalar $C$:
$$ \tag{4.2} $$ The determinant of $A'$ is $C$ times the determinant of $A$, that is,
$$ \tag{4.3} $$
Proof
  Let $A'_{ij}$ be the $i$-th row and $j$-th column element of $A$. The determinant of $A'$ is
(See definition of determinant). By $(4.1)$ and $(4.2)$, we have
Therefore we obtain

Case if a column is scalar-multiplied
Let $A_{ij}$ be the $i$-th row and $j$-th column element of an $n \times n$ matrix $A$:
$$ \tag{5.1} $$ Let $A'$ be the matrix obtained by multiplying $ A_{ij} $ $(i=1,\cdots,n)$ by a scalar $C$:
$$ \tag{5.2} $$ The determinant of $A'$ is $C$ times the determinant of $A$, that is,
$$ \tag{5.3} $$

Case if a scalar is multiplied
  Let $A$ be an $n \times n$ matrix. The determinant of $A$ multiplied by a scaler $\alpha$ is $\alpha^n$ times the determinant of $A$.
$$ \tag{6.1} $$
Proof
  By definition of determinant, the determinant of $A$ is
where $A_{ij}$ is the $i$-th row and $j$-th column element of $A$, $\sigma$ is the permutation, $S_{n}$ is the set of all the permutations, and $\mathrm{sgn}(\sigma)$ is the sign of permutation.
  In the same way, the determinant of $\alpha A$ is
Therefore, we obtain

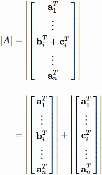
Case if a row vector is sum
  Let $A$ be an $n \times n$ matrix, and $\mathbf{a}_{i}$ be the $i$-th row vector of $A$.
$$ \tag{7.1} $$ Let $B$ and $C$ be $n \times n$ matrices given by replacing $\mathbf{a}_{i}$ with $\mathbf{b}_{i}$ and $\mathbf{c}_{i}$, respectively.
$$ \tag{7.2} $$ When $\mathbf{a}_{i}$ is represented as the sum ,
$$ \tag{7.3} $$ $|A| = |B| + |C|$ holds, that is,
$$ \tag{7.4} $$
Proof
  From $(7.1)$ and $(7.2)$, the determinants of $|A|$, $|B|$, and $|C|$ are
Let $A_{ij}$, $B_{ij}$, and $C_{ij}$ be the $i$-th row and $j$-th column element of $A$, $B$, and $C$, respectively. By definition, the determinants are
From $(7.3)$, we have
We see that the determinant of $|A|$ can be written as
We have

Case if a column vector is sum
  Let $A$ be an $n \times n$ matrix, and $\mathbf{a}_{i}$ be the $i$-th column vector of $A$.
$$ \tag{8.1} $$ Let $B$ and $C$ be $n \times n$ matrices given by replacing $\mathbf{a}_{i}$ with $\mathbf{b}_{i}$ and $\mathbf{c}_{i}$, respectively.
$$ \tag{8.2} $$ When $\mathbf{a}_{i}$ is represented as the sum ,
$$ \tag{8.3} $$ $|A| = |B| + |C|$ holds, that is,
$$ \tag{8.4} $$
Proof
  By $(8.3)$, we have
Since the determinant of the transposed matrix is equal to the determinant of the original matrix, we have
Here, $\mathbf{b}_{i}^{T} + \mathbf{c}_{i}^{T}$ is the $i$-th row vector of $A^{T}$. By $(7.4)$, we have
For the determinant of each term on the right side, we use again the property that the determinant of the transposed matrix is equal to the determinant of the original matrix, and obtain

Add one row to another
  Let $A$ be an $n \times n$ matrix, and $\mathbf{a}_{i}$ be the $i$-th row vector of $A$. Let $A'$ be an $n \times n$ matrix given by adding the scalar multiple of $j$-th row vector of $A$ to $A$:
, where $\alpha$ is the scalar. Then
holds.
Proof
  By (7.4), we have
Applying $(4.3)$ and $(3.1)$ to the second term of the righthand side, we have
Therefore we obtain

Case if the 1st column is 1000...
  Let $A$ be an $n \times n$ matrix whose elements after the second element in the first column are all $0$:
$$ \tag{10.1} $$ The determinant of $A$ is written as
$$ \tag{10.2} $$
Proof
  The determinant of $A$ is
$$ \tag{10.3} $$ where $ A_{ij}$ $(i,j=1,2,\cdots,n)$ is the $i$-th row and $j$-th column element of $A$, $\sigma$ is the permutation, $S_{n}$ is the set of all the permutations, and $\mathrm{sgn}(\sigma)$ is the sign of permutation (See "Determinant definition").
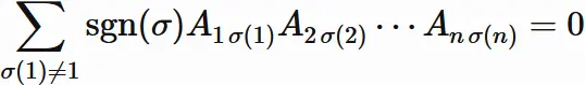
  Let us write $(10.3)$ by dividing it into the summation for $\sigma(1) = 1$ and the summation for $\sigma(1)\neq 1$.
$$ \tag{10.4} $$ Since the permutation $\sigma$ is a one-to-one mapping from $\{1,2,⋯,n \}$ to $\{1,2,⋯,n \}$, if $\sigma(1) \neq 1$, any one of the integers from $2$ to $n$ satisfies $\sigma(k) = 1$. For such $k$ , we have
$$ \tag{10.5} $$ By $(10.1)$,
We have
and
This and $(10.4)$ give
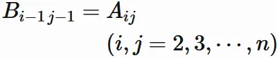
$$ \tag{10.6} $$ Let $B$ an $(n-1)\times(n-1)$ matrix defined as
and $B_{ij}$ be the $i$-th row and $j$-th column element of $B$. We have
Using this, $(10.6)$ can be written as
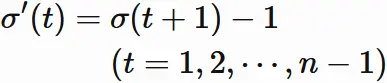
Let $\sigma'$ be a map defined as
$$ \tag{10.7} $$ We have
Under the condition $\sigma(1)=1$, $\sigma$ is a one-to-one map from $\{2,3,\cdots,n \}$ to $\{2,3,\cdots,n \}$. By $(10.7)$, $\sigma'$ is a one-to-one map from $\{1,2,\cdots,n-1 \}$ to $\{1,2,\cdots,n-1 \}$. So, $\sigma'$ is a permutation of $\{1,2,\cdots,n-1 \}$ (see "Determinant definition"). We see that
where $S_{n-1}$ is the set of all the permutations. By $(10.7)$, $\sigma'$ is an even permutation, if $\sigma$ is an even permutation. And $\sigma'$ is an odd permutation, if $\sigma$ is an odd permutation. Hence the permutation sign of $\sigma'$ is equal to the permutation sign of $\sigma$: $ \mathrm{sgn}(\sigma) = \mathrm{sgn}(\sigma'). $ We have
The summation of the right-hand side is the determinant of $B$. We obtain