Examples of Gauss-Jordan elimination

$3 \times 3$ example
  Find the inverse matrix of a 3x3 matrix,
A simple example of finding the inverse matrix of a 3x3 matrix, using Gauss-Jordan elimination
, using Gauss-Jordan elimination.
Sample answer
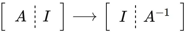
    To obtain the inverse matrix, we define a matrix in which the matrix $A$ and the identity matrix $I$ are arranged side by side,
. This matrix is called augmented matrix. We transform the matrix $A$ in the augumented matrix to the identity matrix $I$ by performing elementary row operations, i.e.,
. As a result, the identity matrix in the right half of the augmented matrix becomes the inverse of $A$. This method of finding the inverse matrix is called Gauss-Jordan elimination. (Here, the dotted line drawn vertically is merely a convenience for distinguishing between the left side and the right side.)
  According to this method, we perform elementary row operations as follows.
  Therefore, we obtain

$4 \times 4$ example
  Find the inverse matrix of a 4x4 matrix,
, using Gauss-Jordan elimination. .
Sample answer
    To obtain the inverse matrix, we define a matrix in which the matrix $A$ and the identity matrix $I$ are arranged side by side,
. This matrix is called augmented matrix. We transform the matrix $A$ in the augumented matrix to the identity matrix $I$ by performing elementary row operations, i.e.,
. As a result, the identity matrix in the right half of the augmented matrix becomes the inverse of $A$. This method of finding the inverse matrix is called Gauss-Jordan elimination. (Here, the dotted line drawn vertically is merely a convenience for distinguishing between the left side and the right side.)
  According to this method, we perform elementary row operations as follows.
  Therefore, we obtain