Definition of linear independence/dependence and examples


  A set of $n$ vectors $\{ \mathbf{x}_{1}, \mathbf{x}_{2}, \cdots, \mathbf{x}_{n} \}$ is said to be linearly independent iff the equation
linearly dependent
holds only when all the coeffients $c_{1}, c_{2}, \cdots, c_{n}$ are equal to zero, i.e.,
. On the other hand, a set of $n$ vectors $\{ \mathbf{y}_{1}, \mathbf{y}_{2}, \cdots, \mathbf{y}_{n} \}$ is said to be linearly dependent iff the equation
linearly dependent
holds and there exists non-zero coeffient $d_{i}$ for any $i$, i.e.,
($i = 1, 2, \cdots, n$.)
  Below are a brief supplement and examples.

Explanation

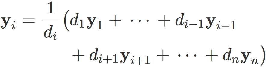
  Acoording to the above definition, if a set of vectors $\{ \mathbf{y}_{1}, \mathbf{y}_{2}, \cdots, \mathbf{y}_{n} \}$ is linearly dependent, at least one vector in the vectors can be represented by a linear combination of the remaining vectors. For example, if $d_{i} \neq 0$, $\mathbf{y}_{i}$ can be represented as
. On the other hand, if the vectors are linearly independent, such expression is not permitted.
  Therefore, a set of vectors is said to be linearly dependent when at least one vector in the vectors can be represented by a linear combination of the remaining vectors. On the other hand, a set of vectors is said to be linearly independent when any vector can not be represented by a linear combination of the remaining vectors.
  Example 1:
  A set of vectors
is linearly independent, because if the equation
holds, then
.
  Example 2:
  Let us investigate whether a set of vectors
is linearly independent.
  If the equation
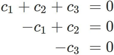
holds, the coefficients satisfy
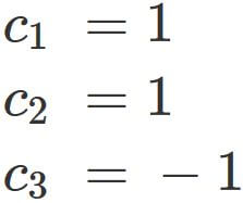
. The solution is
, which is not non-zero. In this way, there exists non-zero coefficient satisfying $(1)$. Therefore, the set of vectors $ \{ \mathbf{x}_{1}, \mathbf{x}_{2}, \mathbf{x}_{3} \} $ is linearly dependent. Therefore at least one vector is represented by a linear combination of the other vectors. For example, $\mathbf{x}_{3}$ is represented as
.
  Example 3:
  Let us investigate a set of vectors
is linearly independent. If the equation
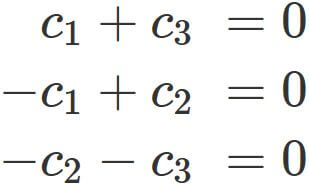
holds, then the coeffients $c_{1},c_{2},c_{3}$, satisfy
. From this, we have
. Therefore $ \{\mathbf{x}_{1}, \mathbf{x}_{2}, \mathbf{x}_{3} \} $ is linearly independent.