The expectation value of the exponential distribution


  The probability density function of the exponential distribution is
Exponential distribution
. The expectation value for this distribution is
The expectation value of the exponential distribution
.

Proof

The probability density function of the exponential distribution is
指数分布
. By definition, the expectation value is
.
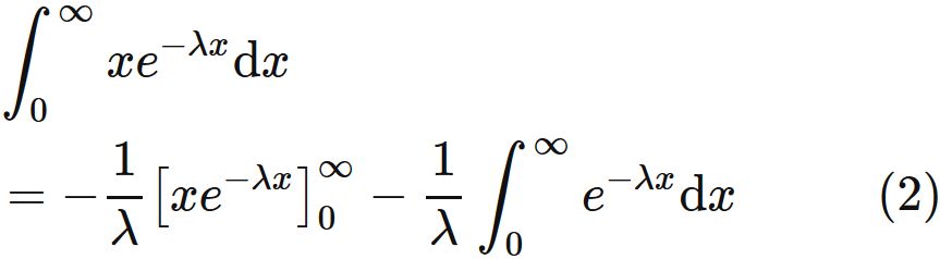
  By partial integration, the integral of the right-hand side is
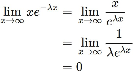
. The first term of the right-hand side of $(2)$ is zero, because
, where we used L'Hospital's rule.
  Therefore the integral of $(2)$ is
. Substituting this into $(1)$, we obtain
.
 Example
  The figure below is the exponential distribution for $ \lambda = 0.5 $ (blue), $ \lambda = 1.0 $ (red), and $ \lambda = 2.0 $ (green).
Figure of the exponential distribution
As the value of $ \lambda $ increases, the distribution value closer to $ 0 $ becomes larger, so the expected value can be expected to be smaller. In fact, the expected value for each $ \lambda $ is
. The larger the value of $ \lambda $ is, the smaller the expectation value is.