Definition of Determinant - SEMATH INFO -


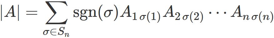
  The determinant of a $n \times n $ matrix $A$ is defined as
Definition of determinant
, where the sum is over all permutations $\sigma$ of the set $\{1,2,\cdots,n \}$, and $\mathrm{sgn}(\sigma)$ is the sign of $\sigma$.

Explanation

  We explain the definitions of symbols included in the definition of the determinant
with examples.
Permutation $\sigma$
  The permutation $\sigma$ for a natural number $n$ is a one-to-one mapping that transforms a set $\{1,2,\cdots, n\}$ to the same set. It is easy to understand by referring to the examples below.
$n=2$
  In this case, the permutation $\sigma$ is a one-to-one mapping that transforms the set $\{ 1,2 \}$ to the same set. There are two kinds of mappings. One is a mapping that transforms $1$ to $1$ and $2$ to $2$, that is
. The other is a mapping that tranforms $1$ to $2$ and $2$ to $1$. ,
. Both of these are one-to-one mappings that transform the set $\{1,2\}$ to same the set .
  The former is represented by
, and the latter is represented by
. This notation indicates that $\sigma$ is a mapping to transform the number in the upper row to the number in the lower row.
$n=3$
  In this case, the permutation $\sigma$ is a one-to-one mapping that transforms the set $\{ 1,2,3 \}$ to the same set, and there are six kinds of mappings.
Here, the uppermost $\sigma$ of the left side,
, is a mapping that transforms $1$ to $1$, $2$ to $2$, and $3$ to $3$. Likewise, the uppermost $\sigma$ on the right side,
, is a map that transforms $1$ to $1$, $2$ to $3$, and $3$ to $2$, and so forth.
  They are sometimes expressed collectively as
. This notation indicates that $\sigma$ is a mapping that transforms the number in the upper row to the number in the lower row.
  Since the permutation is a one-to-one mapping that transforms the set $\{1,2, ..., n \}$ to the same set, it results in a mapping that just rearranges the order of the set. This can be seen from the examples above.
Set of permutations $S_{n}$
  $S_{n}$ is the set of all the permutations, and is also called permutation group. This is also easy to understand by referring to the following examples.
$n=2$
  In this case, there are two permutations
as described above. $S_{2}$ is the set of the two permutations,
.
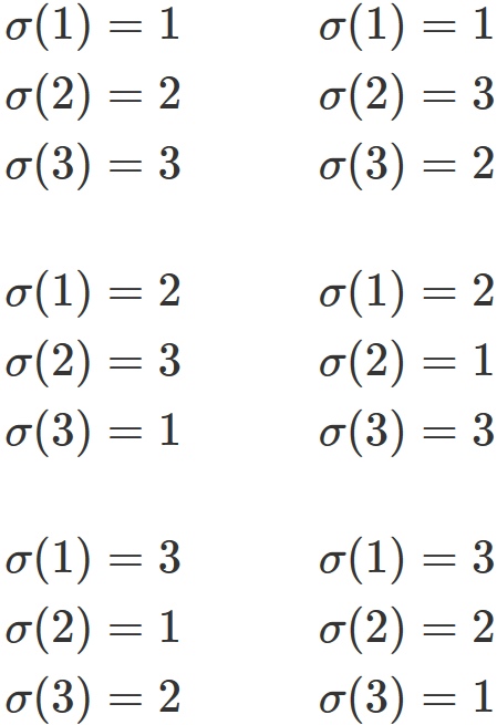
$n=3$
  In this case, there are six permutations
as described above. $S_{3}$ is the set of the six permutations,
.
Even permutation and odd permutation
 
  The permuation $\sigma$ is a mapping that only changes the order of the set $\{1,2 \cdots, n\}$. The operation of changing the order is achieved by an operation of exchanging adjacent numbers. For example, the permutation \begin{eqnarray} \left( \begin{array}{c} 1 & 2 & 3 \\ 2 & 3 & 1 \end{array} \right) \end{eqnarray} is a mapping that transforms $\{ 1, 2, 3 \}$ to $\{ 2, 3, 1 \}$, \begin{eqnarray} \begin{array}{c} 1 & 2 & 3 \hspace{1mm} \xrightarrow[ \hspace{5mm}]{\sigma} \hspace{1mm} 2 & 3 & 1 \end{array} \end{eqnarray} . This mapping is achieved by exchanging adjacent numbers two times. First, exchange $1$ and $2$ in $\{ 1, 2, 3 \}$ and make it $\{ 2, 1, 3 \}$, and exchange $1$ and $3$ in $\{ 2, 1, 3 \}$ and make it $\{ 2, 3, 1 \}$ .
  If the number of such exchanges is even, the permutation is called even permutation. On the other hand, if the number of such exchanges is odd, the permutation is called odd permutation. It is easy to understand by referring to the following examples.
$n=2$
  In this case, there are two permutations
as mentioned above.
  Here, the permutation $\sigma$ on the right side is a mapping that transforms the set $\{1,2\}$ to the set $\{2,1\}$. This can be achived by one exchange, exchanging $1$ and $2$ in the set $\{1,2\}$. Therefore, this permutation is an odd permutation.
  On the other hand, the permutation $\sigma$ on the left side is a mapping that transforms the set $\{1,2\}$ to the set $\{1,2\}$. This can be achived by exchanging nothing (zero times exchange). Therefore, this permutation is an even permutation.
  From the above it can be seen that in the case of $n = 2$, there are one odd permutation and one even permutation in the set $ S _ {2} $.
$n=3$
  In this case, there are six permutations
as mentioned above.
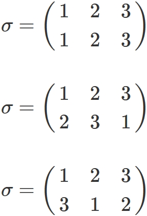
  For example,
is a mapping that transforms the set $\{1,2, 3\}$ to the set $\{2,3,1\}$. This can be achived by two exchanges, exchanging $1$ and $2$ in the set $\{1,2,3\}$ and making it the set $\{2, 1, 3 \}$, and exchanging $3$ and $1$ in the set $\{2,1,3\}$ and making it the set $\{2, 3, 1 \}$. Therefore, this permutation is an even permutation.
  On the other hand,
is a mapping that transforms the set $\{1,2, 3\}$ to the set $\{2,1,3\}$. This can be achived by one exchange, exchanging $1$ and $2$ in the set $\{1,2,3\}$ and making it the set $\{2, 1, 3 \}$. Therefore, this permutation is an odd permutation.
Sign of permutation $\mathrm{sgn}(\sigma)$
  The sign of permutation $\mathrm{sgn}$ is a function of permutation $\sigma$ that assigns $+1$ if $\sigma$ is even permutation and $-1$ if it is odd permutation.
.
$n=2$
  In this case, there are two permutations mentioned above. In them,
is an even permutation. Therefore, the sign of this permutation is $+1$,
. On the other hand,
is an odd permutation. Therefore, the sign of this permutation is $-1$,
.
$n=3$
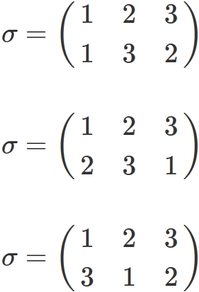
  In this case, there are six permutations as mentioned above. In them,
are even permutations. Therefore the signs of these permutations are $+1$,
. On the other hand,
are odd permutations. Therefore, the signs of these permutation is $-1$,
.
Definition of determinant
  The definition of the determinant of an $n$ x $n$ matrix $A$ is
definition of determinant
. This can be explained as follows using the definitions of the symbols described above.
  First, $\sigma (i)$ appearing in the suffix of $A$ is a value obtained by transforming the natural number $i$ by the permutation $\sigma$. For example, if $n=3$ and the permutation is
, the values after the permutation are
.
  $\mathrm{sgn}(\sigma)$ is the sign of the permutation $\sigma$ and it takes a value of $+1$ for any even permutation and $-1$ for any odd permutation. For example, in the case of
, since it is odd permutation,
.
  Finally, the summation
represents summing over all permutations in the set of $S_{n}$. For $n=3$, since
, the determinant
is the sum of six terms. And the permutations in each term are elements of $S_{3}$ (See exmaple below).
Example ($n=2$)
  In this case, the definition of the determinant is
. Here, since
, $|A|$ is the sum of two terms. Now, let each permutation be denoted by
. We have
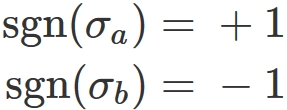
and
. Here, $\sigma_{a}$ is an even permutation and $\sigma_{b}$ is an odd permutation. Therefore,
. We thus obtain
.
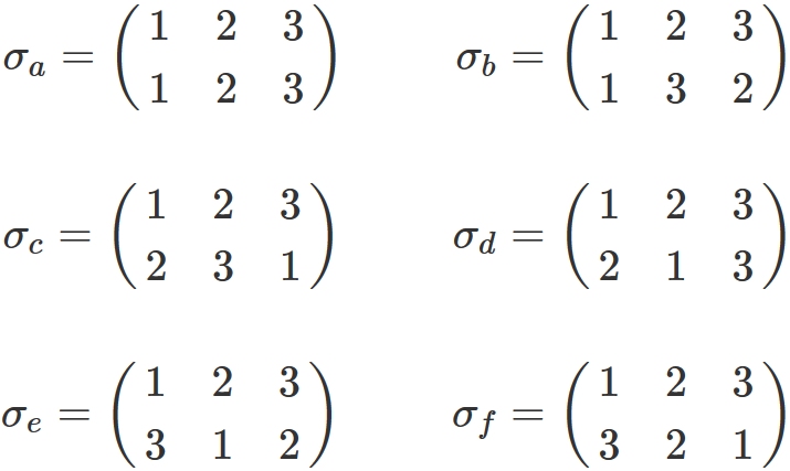
Example ($n=3$)
  In this case, the definition of the determinant is
. Here, since
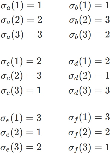
$|A|$ is the sum of six terms. Now, let each permutation be denoted by
. We have
and
. Here, $\sigma_{a}, \sigma_{c}, \sigma_{e}$ are even permutations and $\sigma_{b}, \sigma_{d}, \sigma_{f}$ are odd permutations. Therefore,
We thus obtain
.