Proof of Gaussian Intergral

Gaussian integral
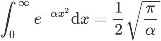
  The definition of the Gaussian integral is
, where $\alpha > 0$. Each expression is an abbreviation of
. This ia an improper integral. In the following, we will prove .

Proof
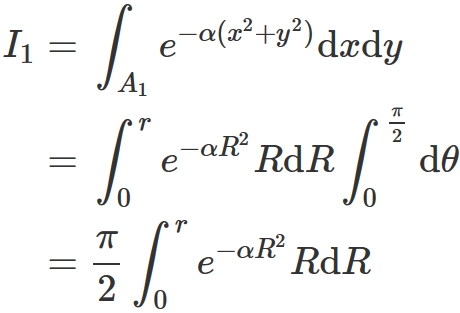
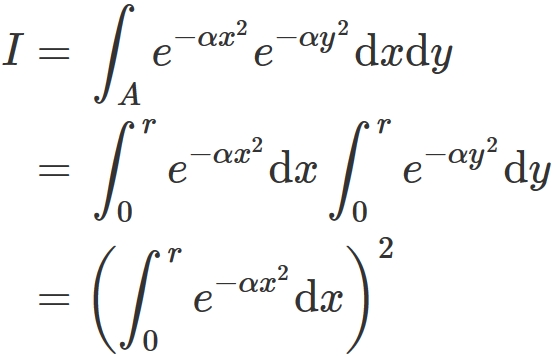
  We start with defining three areas in the two dimensional space.
  The first area is a closed area $A_{1}$ whose boundary is the x-axis, the y-axis and a circle with radius $r$ centered at the origin.
  The second area is a closed area $A$ whose boundary is the x-axis, the y-axis, the line $x=r$, and the line $y=r$. $A$ is a square with an edge length $r$.
  The third area is a closed area $A_{2}$ whose boundary is the x-axis, the y-axis and a circle with radius $\sqrt{2}r$ centered at the origin.
  In this way, $A_{1}$ is included in $A$ and $A$ is included in $A _ {2}$ (See figure below).
Figure of Gaussian integral
Let $I_{1}$, $I$, and $I_{2}$ be an integral of $e^{-\alpha (x^{2}+ y^{2})}$ over $A_{1}$, $A$, and $A_{2}$, respectively, i.e.,
Their integrand is positive, and $A_{1}$ is included in $A$, and $A$ is included in $A _ {2}$. Therefore the inequality
$$ \tag{1} $$ holds. By using polar coordinates,
, the integral $I_{1}$ can be written as
. Here, let $t = R^{2}$. The integral can be calculated as
. Hence we obtain
.
  In the same way as deriving $I_{1}$, we obtain
. The integral $I$ can be written as
. From $(1)$, we see that
Since the integrand $e^{-\alpha x^{2}}$ is positive, the integral $\int_{0}^{r} e^{-\alpha x^{2}}\mathrm{d}x$ is positive. We have
$$ \tag{2} $$ The limit of the left-hand side as $r$ approaches $+\infty$ is
, and the limit of the right-hand side as $r$ approaches $+\infty$ is
, which is equal to the limit of the left-hand side. Therefore, by the squeeze theorem and $(2)$, we obtain
. This expression is normally expressed as
$$ \tag{3} $$ by omitting the symbol of limit.
  The Gaussian integral of the range from $-\infty$ to $+\infty$ can be divided as
Substituing $(3)$ into this gives
Let $t = -x$, we can calculate the first term by $(2)$ as

  Therefore we obtain
Gaussian distribution fig.

$\int x \exp [- \alpha x^2] \mathrm{d} x$
  The following equations hold.
gaussian integral first order

Proof
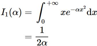
  First, we will prove
Let $x=\sqrt{t} $, we have
. Using these, we obtain
$$ \tag{1} $$   Next, we will prove
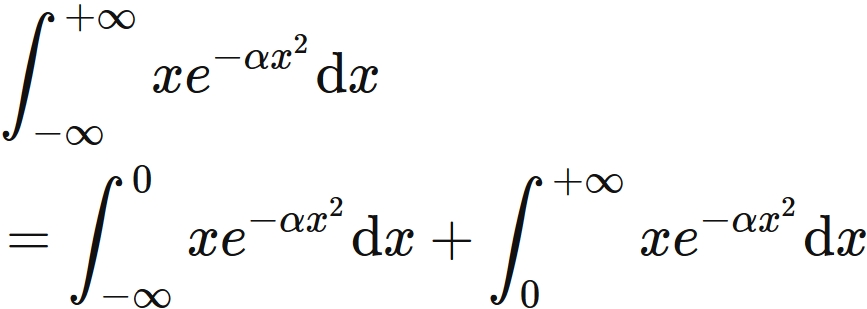
The integral of the range from $-\infty$ to $+\infty$ can be divided as
Substituing $(1)$ into this gives
Let $t = -x$, we can calculate the first term by $(1)$ as
From thise equations, we obtain

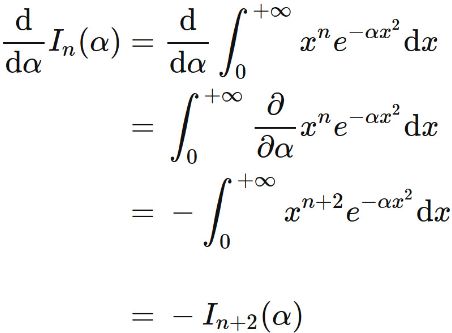
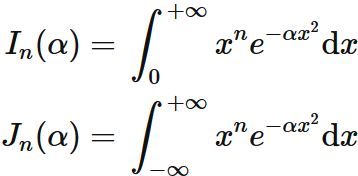
Recurrence formula
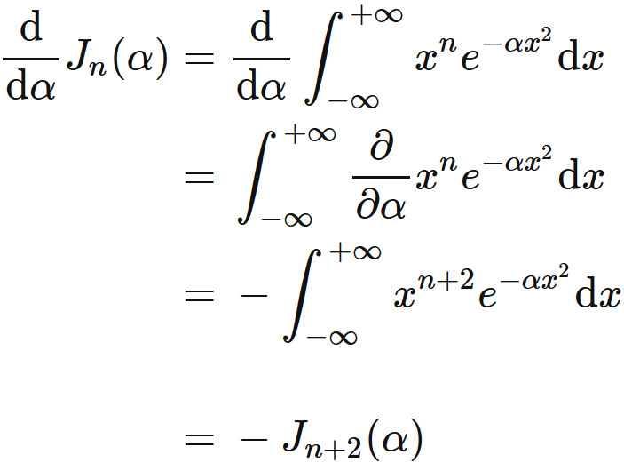
  Let $I_{n} (\alpha)$ and $J_{n} (\alpha)$ and be integrals defined as
. Recurrence formula
hold.

proof
  The derivative of $I_{n}(\alpha)$ with respect to $\alpha$ is
Since the integrand $x^{n} e^{-\alpha x^2}$ and the partial derivative $ \frac{\mathrm{\partial} }{\mathrm{\partial} \alpha } \left( x^{n} e^{-\alpha x^2} \right) $ are continuous function, we can commute derivative and integral of the right-hand side.
By calculating the derivative, we obtain
  Next, we will prove the recurrence formula for $J_{n}(\alpha)$. The only difference between $I_{n}(\alpha)$ and $J_{n}(\alpha)$ is the integral range. We thus apply the same discussion for $I_{n}(\alpha)$, and obtain

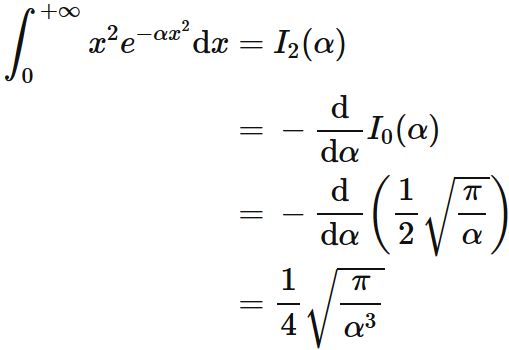
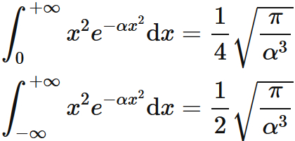
$\int x^2 e^{-\alpha x^2} \mathrm{d}x$
  The following equations hold.

Proof
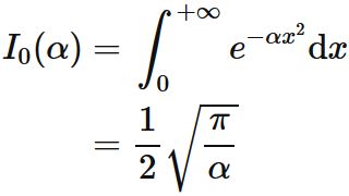
  The recurrence formula for $n=0$ is
$I_{0}(\alpha)$ is the Gaussian integral :
Therefore, we obtain
  Similarly, the recurrence formula for $n=0$ is
$J_{0}(\alpha)$ is the Gaussian integral :
Therefore, we obtain

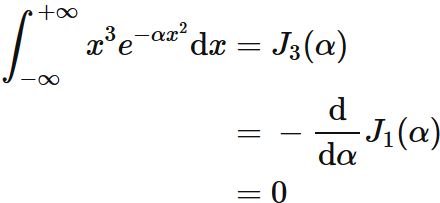
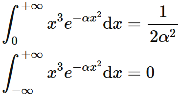
$\int x^3 e^{-\alpha x^2} \mathrm{d}x$
  The following equations hold.

Proof
  The recurrence formula for $n=1$ is
Since
(see $\int x e^{-\alpha x^2} \mathrm{d}x$) , we obtain

  Similarly, the recurrence formula of $J_{n}(\alpha)$ for $n=1$ is
Since
(see $\int x e^{-\alpha x^2} \mathrm{d}x$) , we obtain

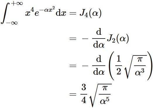
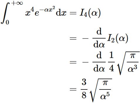
$\int x^4 e^{-\alpha x^2} \mathrm{d}x $
  The following equations hold.

Proof
  The recurrence formula for $n=1$ is
Since
(see $\int x^2 e^{-\alpha x^2} \mathrm{d}x$), we obtain
Similarly, the recurrence formula of $J_{n}(\alpha)$ for $n=2$ is
Since
(see $\int x^2 e^{-\alpha x^2} \mathrm{d}x$), we obtain

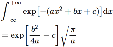
$\int e^{-(a x^2 + bx +c)} \mathrm{d}x$
  The following equations hold.

Proof
  Completing the square in the exponential gives
, where we put $t=x + \frac{b}{2a}$ and used the Gaussian integral in the last equality.