Inverse matrix   - properties and formulas -

Table of contents
- Definition
Definition
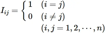
  An $n \times n$ matrix $I$ is called identity matrix, if it satisfies
inverse of orthogonal matrix
In other words, a square matrix whose diagonal elements are $1$ and other elements are $0$ is called identity matrix.