Transpose   - properties and formulas -

Definition
- Definition
- Examples

Properties
- Product
- Inverse
- Determinant
- Trace
- Linearity
Definition
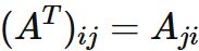
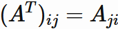
  A matrix in which the row and column elements of a matrix are exchanged is called the transposed matrix of that matrix. The transpose of a matrix $A$ is represented as $A^ {T}$. The $i$-th row, j-th column element of $A^T$ is the $j$-th row, $i$-th column element of $A:$
definition of transpose matrix

Explanation
  The $i$-th row, $j$-th column element of $A^T$ is the $j$-th row, $i$-th column element of $A$. For example, if $i=1$ and $j=2$,
And if $i=2$ and $j=1$,
By transposition, each element is exchanged corssing diagonal elements.
Since $(A^{T})_{ii} = A_{ii}$, each diagonal element is unchanged.
  In general, the size of a traspose matrix is different from its original one. If $A$ is an $m \times n$ matrix, then $A^{T}$ is an $n \times m$ matrix.
If $A$ is a square matrix, the size of $A^{T}$ is the same as that of $A$.
  A column matrix has only one column but any number of rows. A row matrix has only one row but any number of columns. Transpose transforms a column matrix to a row matrix, and vice versa.
Various matrices are defined by transpose. For example,
  • If $A^{T}=A$, $A$ is called a symmetric matrix.
  • If $A^{T}A=AA^{T}=I$, $A$ is called an orthogonal matrix.

Examples
  The transposed matrix of matrix
is
transpose matrix example
  . The transposed matrix of matrix
is
.
  Product
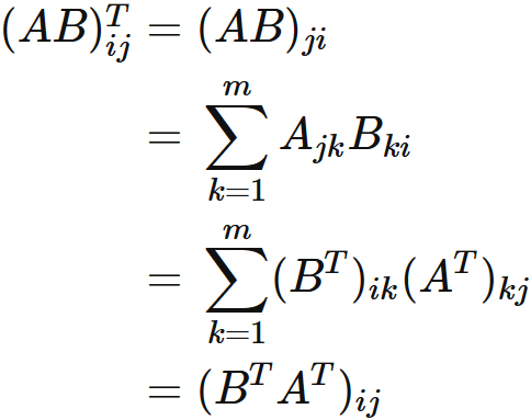
  The transposed matrix of the product of two matrices is equal to the product of the transposed matrices in which the order of the products is reversed:
transposed matrix of product
.
Proof
  Let $A$ be a $l \times m$ matrix, and $B$ be a $m \times n$ matrix, written as
Using the definition of transposed matrix and the definition of product of matrix, for the $i$-th row, $j$-th column element of $(AB)^T$, we see that
. Since this holds for any element, we obtain
transposed matrix of product
.

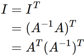
  Inverse
  If a matrix $A$ is invertible, the transpose of $A$ is also invertible, and the inverse matrix of $A^{T}$ is $(A^{-1})^{T}$, that is,
.
Proof
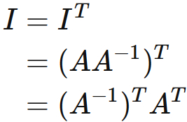
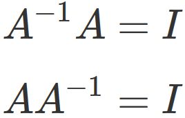
  Let $A$ be an invertible matrix. There exists $A^{-1}$ for which the following holds
$$ \tag{4.1} $$ , where $I$ is the identity matrix. By the propery of transpose of product of two matrices, and the first equation of $(4.1)$, we see that
$$ \tag{4.2} $$ Simimary, by the second equation of $(4.2)$, we see that
$$ \tag{4.3} $$ Eq. $(4.2)$ and $(4.3)$ give
. This expression shows that $ (A ^ {-1}) ^ {T} $ is the inverse matrix of $ A ^ {T} $, that is,
.

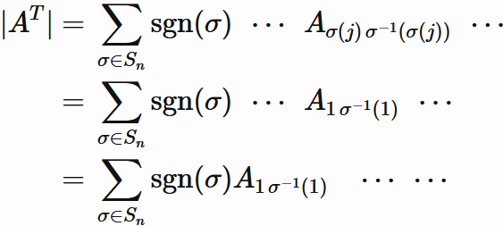
  Determinant
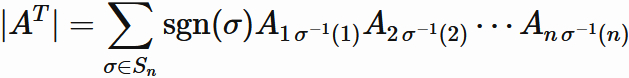
  Let $A$ be a square matrix, and $|A^{T}|$ be the determinant of transpose of $A$. $|A^{T}|$ is equal to the determinant of $A$, that is,
determinant of transpose of matrix

Proof
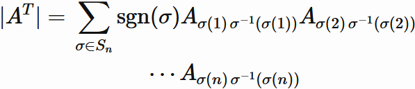
  By definition, the determinant of transpose of an arbitray $n \times n$ matrix $A$ is written as
, where $\sigma$ denotes a function, called permutation, that reorders the set of integers, $ \{ 1,2,\cdots,n \} $ $S_{n}$ denotes the set of all such permutations, $\mathrm{sgn}(\sigma) $ is a sign depending on the permutation, and a sum $\sum_{\sigma \in S_{n}}$ involves all permutations. (For details, see "definition of determinant".)
  Since $ A_ {ij} ^ {T} = A_ {ji} $ from the definition of transpose,
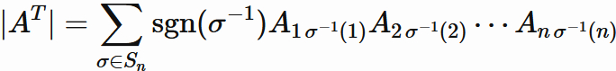
. The permutation is bijective. Therefore, for an arbitray permutation $ \sigma $, there exists an inverse map $ \sigma^{-1} $ such that
, where $i=1,2,\cdots,n$. Using this, we have
$$ \tag{5.1} $$ . Since $\sigma$ is a map that maps $ \{1,2, \cdots, n \}$ to the same set $ \{1,2, \cdots, n \}$, there exists $j$ $(j=1,\cdots,n)$ such that $\sigma(j) = 1$. Therefore $(5.1)$ can be written as
, where ,in the last line, the order of multiplication is just changed. Similary, there exists $k$ $(k=1,\cdots,n, k\neq j)$ such that $\sigma(k) = 2$. We see that
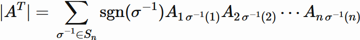
By repeating the same procedure to the end, we obtain
$$ \tag{5.2} $$ Since $\sigma^{-1}$ of an even permutation $\sigma$ is also an even permutation, and $\sigma^{-1}$ of an odd permutation $\sigma$ is also an odd permutation, $\mathrm{sgn}(\sigma^{-1}) = \mathrm{sgn}(\sigma)$ holds. Therefore, we can write
$\sigma$ is a map that maps $ \{1,2, \cdots, n \}$ to the same set $ \{1,2, \cdots, n \}$, and similary, $\sigma^{-1}$ is a map that maps $ \{1,2, \cdots, n \}$ to the same set $ \{1,2, \cdots, n \}$. The set of all $ \sigma^{-1}$ is the same as the set of all $\sigma$, Therefore, in Eq.$(5.2)$, $ \sum_{\sigma \in S_{n}}$ can be replaced with $\sum_{\sigma^{-1} \in S_{n}}$
Since $\sigma^{-1}$ is one of permutation, we can rewrite $\sigma^{-1}$ as $\xi \hspace{1mm} (\in S_{n})$,
In this way, the determinant of transpose of a square matrix is equal to the determinant of the square matrix.

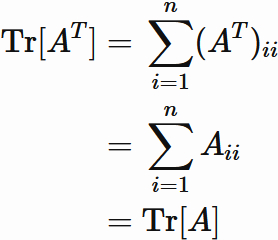
  Trace
  Let $A$ a squared matrix and $ A ^ {T} $ be the transpose of $A$. The trace of $A^{T}$ is equal to the trace of $ A $:
trace of a matrix


Proof
  Let $A$ an $n \times n$ matrix, and $A_{ij}$ be the $i$-th row, $j$-th column element of $A$. By the definition of transpose, we have
trace of a matrix
, whrere ($i,j=1,2 \cdots , n$). This and the defintion of the trace give
trace of a matrix

  Linearity
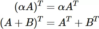
  Let $A$ and $B$ be $m \times n$ matrices and alpha be a scalar. The transpse is a linear transformation:
matrix transpose Linearyty

Proof
  Suppose $A$ and $B$ are represented as
Then
We see that
and