Inverse of a 3x3 matrix


  Let $A$ be a 3x3 matrix given by
3x3 matrix
The inverse matrix is
the inverse of a 3x3 matrix
, where $|A| \neq 0$.

  Proof

  There are mainly two ways to obtain the inverse matrix. One is to use Gauss-Jordan elimination and the other is to use the adjugate matrix. We employ the latter, here.
  The inverse matrix has the property that it is equal to the product of the reciprocal of the determinant and the adjugate matrix.
, where $\tilde{A}$ is the adjugate matrix of $A$, and $|A|$ is the determinant
. (See determinant of a 3x3 matrix.)
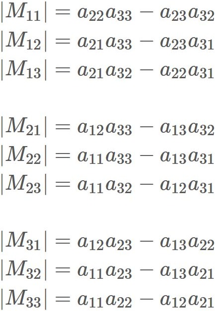
  The adjugate matrix $\tilde{A}$ is obtained as follows. Let $M_{ij}$ be a submatrix obtained by removing $i$-th row and $j$-th column from $A$,
These determinants are
Each element of the adjugate matrix $\tilde{A}$ is defined as
(Note that the subscript order of $M$ is different from that of $\tilde{A}$). Therefore, we have
  and in the form of a matrix,
By substituing $|A|$ and $\tilde{A}$ into $(1)$, we obtain




Calculator
  Enter a 3x3 matrix and press "Execute" button. Then the inverse matrix is displayed.
Matrix
1 2 3
1
2
3
Inverse matrix
1 2 3
1
2
3