How to find the inverse matrix of a 4x4 matrix


  Find the inverse of
4x4 matrix
, where $|A|\neq 0$.

  Answer

  There are mainly two ways to obtain the inverse matrix. One is to use Gauss-Jordan elimination and the other is to use the adjugate matrix. We employ the latter, here.
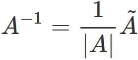
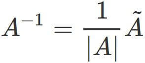
  The inverse matrix has the property that it is equal to the product of the reciprocal of the determinant and the adjugate matrix.
where $\tilde{A}$ is the adjugate matrix of $A$, and $|A|$ is the determinant.
  The determinant of $A$ can be obtained by using the cofactor expansion. The cofactor expansion along the first column is
The 3x3 determinant in each term is
Therefore, the determinant of $A$ is
Next, we will find the adjugate matrix, $\tilde{A}$. The defintion is
Here, $M_{ji}$ is a submatrix obtained by removing $j$-th row and $i$-th column from $A$,
These determinants are
From $(1)$, the elements of $\tilde{A}$ are

  We have found $|A|$ and $\tilde{A}$. Therefore, substituting them into
yields the inverse matrix.
Example
  Find the inverse of
in the same way as above method.
  The determinant of $A$ is
(see "determinant of a 4x4 matrix")
  The submatrices of $A$ are
These determinants are
By definition $(1)$, each elements of the adjugate matrix are

  Therefore, $A^{-1}$ is

Calculator
  Enter a 4x4 matrix and press "execute button". The inverse matrix is displayed.
Matrix
1 2 3 4
1
2
3
4
Inverse matrix
1 2 3 4
1
2
3
4