Inverse matrix of a 2x2 matrix


  Show the inverse matrix of a 2x2 matrix
2x2 matrix
is
inverse matrix of a 2x2 matrix
, where $|A| = 0$.

  Proof

  To find the inverse marix of a 2x2 matrix $A$, we use the property that the inverse matrix is the product of the reciprocal of the determinant and the adjugate matrix, i.e.,
, where $\tilde{A}$ is the adjugate matrix of $A$.
  The determinant of $A$ is
(See determinant of a 2x2 matrix.)
  The adjugate matrix $\tilde{A}$ is defined as
where $M_{ij}$ is a submatrix obtained by removing i-th row and j-th column from $A$, that is,
and these determinants are
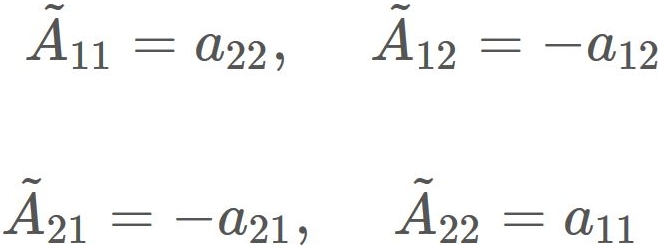
Therefore, each element of $\tilde{A}$ is
and in the matrix form,

  By substituing $|A|$ and $\tilde{A}$ into $(1)$, we obtain
Calculator
  Enter a 2x2 matrix and press "Execute" button. Then its inverse matrix is displayed.
Matrix
1 2
1
2
Inverse matrix
1 2
1
2